학교에서 가장 쉽게 할 수 있는 실험이 진자 실험이다.
별 다른 도구 없이 학생들이 초시계(스마트폰이나 태블릿 이용해도 됨)를 가지고 측정을 통해 과학 탐구 실험을 하게 할 수 있다. 아래 링크에 접속해서 실행하면 된다.
(컴퓨터나 스마트폰 사양에 따라 진자의 주기가 이론값과 약간의 차이가 생길 수 있다.)
https://sciencej1.cafe24.com/html5/pendulum/pendulum.html

빈 종이를 주고 진자의 주기가
1. 실의 길이에 따라 어떻게 변하는지
2. 진폭(각도)에 따라 어떻게 변하는지
3. 추의질량에 따라 어떻게 변하는지 측정해 보게 할 수 있다.
나름대로 표를 만들어 직접 측정해 보면서 진자에 대해 탐구하게 할 수 있다.
참고로 주기를 측정할 때는 10번 반복하는 시간을 측정해서 1/10 로 나눠 주도록 안내하자..
대부분 학생이 1번 갔다 오는 걸 측정하려고 하는데, 그러면 오차가 커진다.
진자운동 가상실험은 이론과 거의 똑같이 만들어 져 있다.(실제로 실험도구 주고 실험하는게 가장 좋다.)
따라서 실험도구를 설치 하지 않아도, 초시계로 주기를 측정해 가며 실제 실험처럼 측정해 볼 수 있도록 했다.
실제로 변인을 바꿔가며 초시계로 주기를 측정하고, 측정 결과를 정리하면서 탐구실험을 하면 된다.

공식을 보면 주기는 실의 길이와 중력하고만 상관이 있다.
4. 그래서 중력이 다른 행성에서는 어떻게 되는지 확인해 볼 수 있도록, 행성을 선택해서 비교해 볼 수 있게 했다.
5. 가상 프로그램에서 우측 아래 실제현상에 체크하면, 각도의 크기에 따라서도 작지만 주기가 변한다.
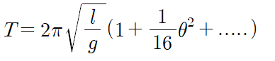
진자의 주기가 실의 길이와 중력가속도와만 관계가 있다는 위쪽 공식은 진폭이 아주 작다는 가정하에 만들어진 식이다.
그 식에 의해 학교에서는 진자의 주기는 실의 길이와만 상관 있고, 진폭이나 질량과는 상관없다고 가르친다.
하지만 실제로 실험해 보면 진폭이 커질수록 주기도 아래 그래프 처럼 아주 약간씩 커진다.

실제 각도(진폭)까지 고려해서 나온 공식은 아래와 같다.
계산값에서 3항부터는 크기가 너무 작아 생략한 식이다. 중요한 건 각도(θ)도 주기에 영향을 미친다는 점이다.

6. 마지막으로 좌측 하단에 세로막(박수) 체크가 있다.
세로막에 대한 자세한 활용법은 아래 링크에 있는 포물선 운동 참고하기 바란다.
이는 중학교 학생들과 수업할 때 역학적에너지 보존에서 위치에너지가 감소할수록 운동에너지가 커진다는 것을 직관적으로 확인하게 하기 위해 추가로 만들었다.
세로막에 체크해서 세로막이 화면에 나오게 하고, 진자가 하얀색 부분을 지나갈 때만 박수를 치게 하면 된다. 그럼 높이가 낮아 질수록 진자의 속력이 빨라진다는 것을 쉽게 이해할 수 있다.
박수를 칠 수 있도록 세로막에 체크 하면 진자의 속도가 비정상적으로 느려 지고, 실의 길이도 고정이 된다. 우측에 있는 각종 옵션설정도 적용되지 않는다. 박수를 치면서 확인하는 용도로만 사용하기 바란다.

<수업팁> 역학적에너지 가르칠 때 학생들에게 자주 하는 질문.
진자가 맨 아래를 지나갈 때 가장 빠를까? 맨 아래 도달하기 직전이 가장 빠를까 아니면 맨아래를 지나자 마자가 가장 빠를까?
학생들은 맨아래 도달하기 직전이나. 지나자 마자가 가장 빠를 거라고 생각한다. 역학적 에너지 보존법칙으로 생각해 보면 위치에너지가 가장 작은 맨 아래를 지날 때가 가장 빠르다. 다시 한번 의미를 상기시켜 주는 것도 좋다.