에너지 보존 법칙으로 설명이 가능하다.
일단 동영상을 보자.
https://www.youtube.com/watch?v=6m1YNC8ZAlE
날달걀이 조금 더 빨리 굴러 내려가는 걸 알 수 있다.
달걀은 쉽게 깨지기 때문에 실험하기가 곤란하다. 그래서 삶은달걀 대신 얼린 페트병과 날달걀 대신 물이든 페트병을 가지고 실험해 보기로 했다.
결론부터 말하면 물이든 페트병 먼저 굴러 내려간다.
준비물이 간단하기 때문에 수업 시간에 해 봐도 좋다. 그런데 물을 미리 얼려 놔야 하는 어려움이 있다.

이론적으로 접근하면 많이 복잡할 수 있지만 중학교 수준에서 설명하면 다음과 같다.
1. 가장 쉬운 설명
에너지 보존법칙으로 설명하면 된다.
(마찰력이나 공기저항은 무시할 수 있을 정도로 작다고 가정하고, 고려하지 않는 걸로 하겠다.)
그럼 에너지 보존법칙으로 설명이 가능하다.
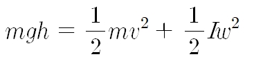
초기 에너지는 위치에너지만 있다. 그리고 위치에너지는 모두 운동에너지로 전환된다.
나중 에너지인 운동에너지는 병이 회전하기 때문에 회전하는 회전운동에너지와 속도를 가지고 이동하는 병진운동에너지의 합으로 나타내 진다.
공식으로 나타내면 처음에너지(위치에너지) = 나중에너지(병진운동에너지 + 회전운동에너지) 로 표현할 수 있다.

이 문제는 어떤 페트병이 바닥까지 굴러 내려가는 동안 회전하는데 필요한 에너지를 더 적게 사용하는가를 알아보는 문제다.
그리고 회전에너지를 적게 사용하는 병이 에너지 보존 법칙에 의해 병진운동에너지가 커져서 더 빨리 바닥면에 도달한다는 것을 알 수 있다.
(참고로 자유낙하 시키면 회전하는 에너지가 없기 때문에 똑같이 떨어진다. 그리고 마찰력이 전혀 없어서 병이 구르지 않고, 미끄러진다면 두 병은 바닥면에 똑같이 도달한다. 회전하기 때문에 도달하는 시간이 달라지는 것이다.)
중학교 수준에서 설명하면
물병은 안에 있는 물은 잘 따라 돌지 않기 때문에 바닥에 도달할때 까지 페트병만 회전시키면 된다.
반면에 얼음병은 페트병뿐만 아니라 안에 들어있는 얼음들까지 모두 함께 회전시켜야 한다.
따라서 얼음병이 회전시키는데 에너지를 많이 소모하게 되므로 바닥면까지 도달하는 속력이 느려저서 더 늦게 도달하게 된다.
중학교 수준에서는 이 정도 설명이면 충분하다.
2. 고급물리 수준에서 접근하면
이건 관성모멘트의 문제다
고리만 돌리느냐, 속이 꽉 찬 물체를 돌리느냐의 문제다.
m = 페트병 질량 , M = 물의 질량이라고 가정하자. 이때 M > m 보다 훨씬 크다는 것을 알 수 있다.

따라서 얼음병의 관성모멘트가 물병 보다 더 크기 때문에 물병이 더 빨리 굴러 내려온다는 것을 알 수 있다.
그런데 삶은 달걀과 날달걀을 가지고 실험을 해보면 차이를 확인하기 쉽지 않다. 달걀은 크기가 작고, 불규칙하게 굴러 내리는 경향이 있기 때문이다. 페트병처럼 의미있는 차이를 관찰하기 쉽지 않다. 달걀로 의미있는 결과를 관찰하려면 실험 설계를 좀 더 잘해야 한다.
<추가문제>
꿀처럼 점도가 있는 물질을 물 대신 병에 넣고 굴리면, 얼음병보다는 빠르고 물병 보다는 느리게 굴러 내려간다. 이유는 병이 회전할 때 안에 있는 점도가 큰 물질도 어느 정도는 따라서 회전하기 때문이다.
아래 영상을 보면 비싼 꿀 대신 주변에서 쉽게 구할 수 있는 손소독제를 넣어 실험해 보았다.
물이 든 병이 꽉 차있지 않은 이유는, 물병과 손소독제가 든 병의 무게를 맞추었기 때문이다.
<관련 실험>
2. 회전에너지만 비교하는 실험은 아래 링크 참고
물병과 얼린병을 회전시킬 때 회전에너지 비교
물병과 얼린병을 회전시키면 어떤 병이 회전시키기 힘들까? 이전에 물병과 얼린병 빗면 굴리기 실험에서 회전에너지만 따로 실험해 보기로 했다. 관성모멘드로 비교한 이전 실험 및 설명은 아
sciencelove.com
3. 다양한 병 경사면 굴리기 실험
물병, 얼린 병 과 다양한 병 경사면 굴리기 실험
물병과 얼린 병을 경사면에서 굴리면 물병이 빨리 굴러 내려간다. 그렇다면 다양한 병들을 굴린다면 어떤 병이 먼저 굴러 내려갈까?다양한 병들을 준비해서 실험해 보기로 했다.빈
sciencelove.com
4. (탐구활동) 물의 양에 따른 경사면 굴리기 실험
https://sciencelove.com/2596
탐구활동-물의 양에 따른 경사면 굴리기 실험(에너지 보존)
병에 든 물의 양에 따라 경사면을 굴러 내려가는 속력이 달라 진다. 그래서 학생들과 모둠별로 쉽게 해 볼 수 있는 탐구 실험을 설계해 보았다. 초등학교에서는 단순하게 측정값을 이용해 그래
sciencelove.com